Creative Commons License Copyright © Michael Richmond. This work is licensed under a Creative Commons License.

The center of mass in an extrasolar system

So, suppose that we point our telescopes towards some distant star. It is so bright, and any possible planets around it are so faint, that we can only detect the light of the star itself.

Rats.

But suppose that we split this starlight into a spectrum and record it -- not just once, but over and over again, night after night, week after week. Maybe, just maybe, we might see the spectrum of that starlight change ....



  Q:  Why should the starlight shift back and forth, 
          back and forth, in a periodic fashion?









  A:  Because the star is moving towards us and 
          away from us, towards us and away from us,
          as it circles around the center of mass
          between it and a planet!


A little animation illustrating radial velocity curves

If you could figure out the size of the star's orbit, Rs, and if you knew the size of the planet's orbit Rp -- which is always much, much, larger -- then you could figure out the ratio of orbital radii, and, thanks to center of mass, the ratio of masses.

Look at the measurements of a star called "tau Bootes". This star moves in a circle with a period of P = 3.312 days and a speed of about v = 466 m/s.

  1. What is the circumference of the star's orbit? In other words, how far does the star travel as it makes one complete circle?
  2. What is the radius Rs of the star's orbit around the center of mass?
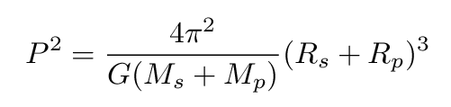
  3. The planet is circling the star with a much larger orbital radius Rp, but with exactly the same period P. Use Kepler's Third Law to figure out the radius of the planet's orbit.

    You can assume that

  4. How does the planet's orbit compare in size of the orbit of the Earth around the Sun?
  5. Use the ratio of orbital radii to figure out the ratio of masses. Then estimate the mass of the planet.
  6. How does the planet's mass compare to the mass of the Earth?
  7. Would you like to live on this planet?


For more information

Creative Commons License Copyright © Michael Richmond. This work is licensed under a Creative Commons License.