Creative Commons License Copyright © Michael Richmond. This work is licensed under a Creative Commons License.

The disk of the Milky Way


The Milky Way's halo

Today, we turn our attention to the outermost of the components of the Milky Way: the halo. It's the roughly spherical ball of stars which surrounds the disk and the bulge.

Let's look at the nature of the stars in the halo, and how they differ from those in the disk. As we'll see, there is strong evidence that the stars in the halo are OLDER than those in the disk. In fact, astronomers sometimes describe generations of stars in the Milky Way in the following terms:

Some people have a hard time remembering which label goes with which group of stars; my technique for getting it right is thinking that the stars in Pop II are older than those in Pop I, just as a 2-year old child is older than a 1-year old.

At the end of this lecture, we'll revisit these two categories to see how they compare in categories other than "age".


Stellar motions reveal the halo

The first major clue to the existence of something beyond the disk was found in the motions of stars. If we measure velocities in a coordinate system in which

then most of the stars in the stellar neighborhood share very similar motions.



   Suppose that the typical orbital speed of stars in the 
      solar neighborhood is 200 km/s around the center of the Milky Way.

     
   Q:   For stars in the disk near the Sun, what should the size of
           each velocity component be?









Right. Vx and Vz should both be close to zero, but Vy should be around +200 km/s.

When we look at the actual velocites of stars in the local region of space, we do find that MOST stars do show this pattern.


Figure 2 taken from Helmi, A., AR&AA, 58, 205 (2020)

However, a small fraction of the stars do NOT have velocities like the rest. All of their components cover a wide range of values, while their Vy speeds are considerably smaller than those of disk stars.

The conclusion: some stars are, basically, not rotating around the center of the Milky Way in the same way as the disk stars. Moreover, the large range of vertical speeds indicate that these stars fly far above and far below the plane of the disk.

In other words, these locally uncommon stars form a large, roughly spherical (rather than roughly disky) collection which does not rotate as a group. It seems quite reasonable to call this component a "halo".


Chemical clues

But it's not only their motions which show that halo stars are different. High-precision measurements of their colors and absolute magnitudes reveal that they fall on a SLIGHTLY different main sequence than typical disk stars.


Figure 7, panel a, taken from Helmi, A., AR&AA, 58, 205 (2020)

Because the locus of the halo stars falls a bit lower on the absolute magnitude axis, these stars are sometimes referred to as sub-dwarfs: the "sub" meaning "below", and the "dwarfs" referring to ordinary main sequence stars.

Gaia was able to go beyond measuring the colors of stars; it acquired spectra, too, which allowed astronomers to estimate the chemical composition of each star. The graphs below show the metallicity as a function of position in the sky, for a series of samples at different distances from the Sun.


Figure 4, all panels, taken from Gaia collab, A&A 674, A38 (2023)



   Q:  Do you see any systematic pattern in the metallicity of stars
          in the disk vs. the halo?








Here's another view of the situation, showing a vertical cross-section of the Milky Way -- note the panel in the upper-right corner showing the scale.


Figure 5 taken from Ivezic, Z., Beers, T. C., & Juric, M., AR&AA, 50, 251 (2012)

With measurements of high enough quality, astronomers can estimate the AGE of a star, too. They find a reasonably strong connection between age and metallicity for stars in the halo. In the graph below, "FS" stands for "free star", and "GC" for "globular cluster."


Figure 7 taken from Garro et al., A&A, 687, A214 (2024)

The measurements of halo stars, represented by the blue circles in the graph below, show the same pattern.


Figure 2 taken from Woody, T., and Schlaufman, K. C., AJ 162, 42 (2021)



   Q:  What is the connection between age and metallicity for 
           stars in the halo?









The shape of the halo

For rough purposes, it's fine to imagine the halo of the Milky Way as being spherical. In recent years, however, due to advances in our ability to measure the distances to stars and clusters which lie in the far reaches of the Milky Way, we have discovered that the halo is slightly .... squished.


Figure 7 taken from Han, J. J., et al., AJ, 164, 249 (2022)

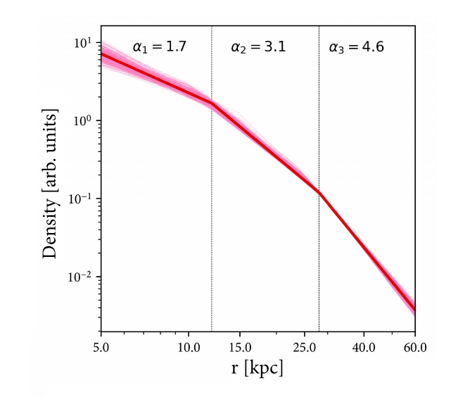
Why does it have this slight tilt? Hmmm. The authors of this study note another clue: the density of stars in the halo doesn't decrease in a simple manner, but changes from less-steep to more-steep in a discontinuous manner with radius.


Figure 6 taken from Han, J. J., et al., AJ, 164, 249 (2022)

Han et al. suggest that the breaks in the density profile are due to a dramatic event that happened about 10 Gyr ago: the very young Milky Way collided with a smaller galaxy, known as Gaia-Enceladus (GE) or Gaia-Sausage-Enceladus (GSE), swallowing it up. Most of the stars contributed by this merger ended up in the halo. The two breaks in the density profile correspond to the first and second apocenters of the stars from GSE as that smaller galaxy gradually decayed.


Stellar streams in the halo

But the GSE merger was far from the only time when the Milky Way consumed smaller neighbors. As the Sloan Digital Sky Survey and more recent projects have mapped the entire sky in more and more detail, astronomers have noticed a large number of "streams" of older stars, all on very similar orbits.


Figure 2 taken from Bonaca and Price-Whelan, New Astronomy Reviews, 100, 1713 (2025)

Since Gaia started contributing observations, the number of these streams has increased rapidly!


Figure 5 taken from Bonaca and Price-Whelan, New Astronomy Reviews, 100, 1713 (2025)

We now have evidence for over 100 instances of a smaller galaxy colliding with the Milky Way and then merging with it.


Figure 7 taken from Bonaca and Price-Whelan, New Astronomy Reviews, 100, 1713 (2025)

In some cases, the victims ran into the Milky Way going in the same direction as rotation of the disk stars ("prograde"). But quite a few smashed into our Galaxy heading in the opposite direction ("retrograde").


Figure 8 taken from Bonaca and Price-Whelan, New Astronomy Reviews, 100, 1713 (2025)


A rough history of the Milky Way

How can we explain the observed properties of stars in the halo?

Below is a very simplified story describing the formation of our Milky Way Galaxy, and the stars within it, which is consistent with the observations.

  1. A long time ago, about 13.7 billion years ago, in fact, all that we currently see in the universe. Shortly thereafter, matter formed into just two(*) elements: hydrogen and helium.

    *Yes, yes, and teeny tiny bits of lithium.

  2. A roughly spherical giant cloud of hydrogen and helium gas started to collapse due to internal gravitational forces. Within the cloud, smaller clumps collapsed more quickly to create a first generation of stars, and also a group of globular clusters.
  3. The first generation of stars should have been made of pure hydrogen and helium, Theorists call these "Population III", but none have ever been observed. We believe that these very earliest stars lived short lives and then either

  4. Clouds of gas enriched with heavier elements by the Pop III stars soon collapsed to form Pop II stars: not pure H and He, but containing much smaller amounts of heavier elements than the Sun or most current-day stars
  5. Smaller neighboring galaxies occasionally collided with the Milky Way and merged with it. Some of these evaporated completely, adding scattered stars into the Milky Way's halo; others remained somewhat coherent groups of stars, stretched out into thin stellar streams.
  6. Around 10 Gyr ago, a particularly large neighbor called the Gaia-Sausage-Enceladus (GSE) merged with the Milky Way, leaving traces we can still see in the kinematics of stars in the halo.
  7. Gas from within and outside the Milky Way gradually fell into it gravitational well and settled down into a disk. Gas particles, unlike stars, can quickly lose large amounts of energy due to collisions, and so clouds of gas, unlike stars, can easily flatten into disk-shaped structures.
  8. The gas in the disk continued to be enriched in heavy elements by mass loss from the early generations of stars.
  9. Gas in the disk formed into stars around 8-10 Gyr ago. These stars had enough heavier elements to look quite different from the Pop II stars -- we call them Pop I.
  10. Over the next 8-10 Gyr, small forces due to many distant gravitational encounters with other stars gradually perturbed the orbits of the early disk stars, giving them large vertical motions. We now see these stars in the thick disk.
  11. Perhaps inspired by another merger, the gas in the disk underwent another burst of star formation around 5-8 Gyr ago, forming a slightly younger group of stars. These stars haven't had as much time to be perturbed out of their flattened orbits, so we call them the thin disk.
  12. Up the present, more and more gas continues to collect in the plane of the Milky Way, always growing richer and richer in heavy elements. Stars do continue to form out of this enriched gas in the disk, adding more stars to the thin disk.


For more information


Creative Commons License Copyright © Michael Richmond. This work is licensed under a Creative Commons License.