Creative Commons License Copyright © Michael Richmond. This work is licensed under a Creative Commons License.

Computing the center of mass of an extended object

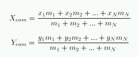
If we have a collection of compact little balls, then we can find their center of mass with a simple sum:

Or, in a more compact notation,

But what if we need to find the center of mass of a more complex object -- one which has a continuous distribution of material?

There is a technique we can use: integrate the contribution to the center of mass of each little bit of the object. Let's see how that works by starting with a very simple example and working our way to more complicated ones.

Creative Commons License Copyright © Michael Richmond. This work is licensed under a Creative Commons License.